
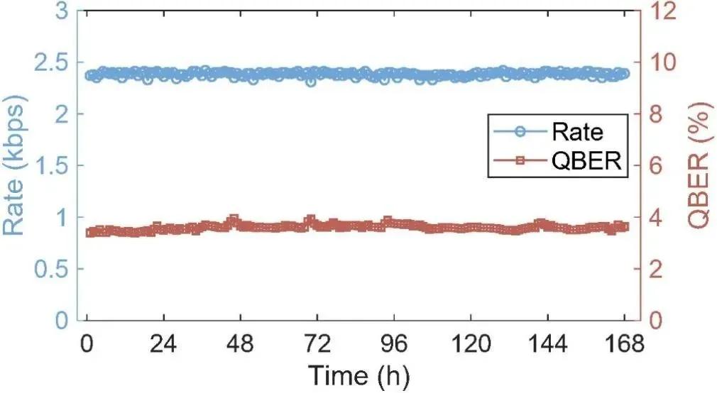
近日,贝博官网储能学院郑超教授领衔的储能量子直接通信与计算团队作为参研单位,与北京量子信息科学研究院和清华大学相关团队合作,提出单向量子直接通信理论,成功研制出实用化系统,创造了在104.8公里标准光纤通信实验测试中连续168小时、速率为2.38kbps的稳定传输世界纪录。相关成果于2025年2月21日在国际知名学术期刊《Science Advances》(《科学进展》)上发表,这标志着量子直接通信从理论构想成功迈向实际应用阶段。

单向量子直接通信理论方案
量子直接通信具有窃听感知、阻止窃听、兼容现有网络、简化管理流程以及隐蔽传输等五大特性,为保障信息传输安全提供了全新解决方案。此前,国际上多个团队曾提出的单向量子直接通信方案,仅在无损耗的理想条件下可行,在高损耗和高噪声的现实环境中开展困难重重。此项研究中,研究团队成功突破了高噪高损信道编码、信道掩码增容、高速量子态调制解调等系列关键技术,提出单向量子直接通信理论方法,利用同一组光量子态同时实现了信息的安全传输与密钥协商,极大地提升了量子直接通信的性能,有望广泛应用于政务、金融等对信息安全要求极高的应用领域,以及智慧韧性城市治理涉及的能源电力传输、综合能源“源-网-荷-储”系统、智慧交通、无人机低空通信等对通信网络安全和算力提升要求高的应用场景,切实增强通信安全性。

信息传输速率与量子比特误码率测试结果
贝博官网参研团队在项目开展过程中,从智慧韧性城市治理涉及的能源电力传输、“源-网-荷-储”系统、智慧交通、无人机低空通信等应用场景中的安全性和实用化出发,对理论方案和实验协议进行了设计和优化,为最终取得该突破性成果起到重要支撑作用。该项研究依托ballBET贝博BB艾弗森“智慧韧性城市治理”分析测试中心国债项目和储能新兴交叉学科平台等科研项目、平台开展,体现了贝博官网开展高水平应用研究、取得突破性实用化成果的能力。

新华网、人民日报、人民网、北京日报、光明日报、中国青年网、绿色中国、凤凰网、环球时报、新浪网等社会主流媒体对该项成果进行了报道。



附:成果原文链接
编辑:左芳舟